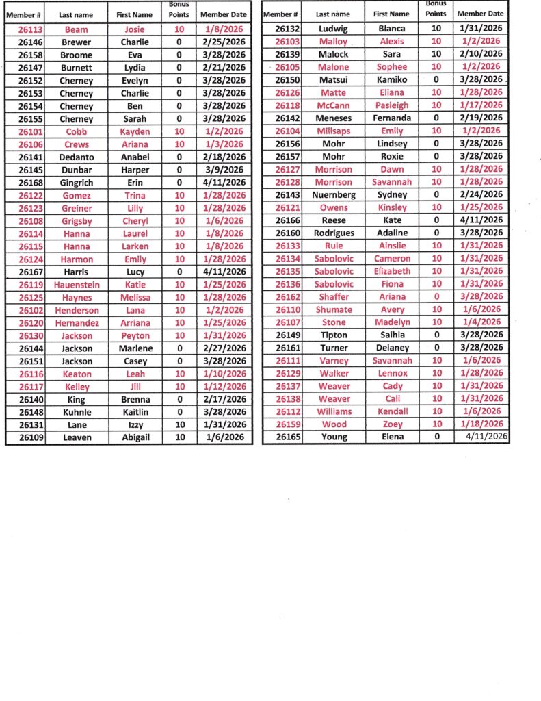
See below for bonus point recipients!!!!
2026 Members who sign up and make payment before midnight on Jan 31, 2026 will get 10 bonus points!
(Mailed Membership forms must be postmarked no later than the cut off date)

Only 2026 Carolina Schooling Series Members can accumulate points for year end awards. Membership points accumulate from the date the payment for membership is recieved by the member coordinator.
Membership dues can be submitted online or in person at the show grounds.
Thanks and Welcome to C.S.S.!
To pay 2026 Membership dues in person, down load form and bring to show office with cash, check or credit card. Remember, we cannot combine member fees with entry fees and if your membership is not paid before the start of the horseshow, points for that show will not be counted for that show.
2026 Bonus Point Members
Kayden Cobb, Ariana Crews, Cameron Sabolovic, Elizabeth Sabolovic, Fiona Sabolovic, Abigail Leaven, Kendall Williams, Josie Beam, Lana Henderson, Ainslie Rule, Paisleigh McCann, Lexi Malloy, Cheryl Grigsby, Avery Shumate, Kinsley Owens, Arriana Hernandez, Laurel Hanna, Savannah Varney, Larken Hannah, Katie Hauenstein, Eliana Matte, Melissa Haynes, Lily Griener, Emily Harmon, Lennox Walker, Savannah Morrison, Dawn Morrison, Trina Gomez